The Housing Stock, Housing Prices, and User Costs: The Roles of Location, Structure and Unobserved Quality

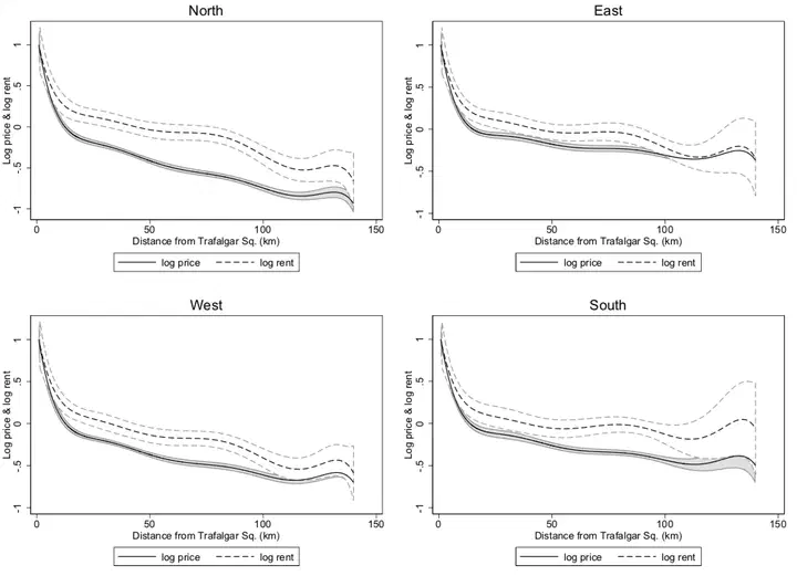
Rent and Price Gradients in London

Abstract

Which housing characteristics are important for understanding homeownership rates? How are housing characteristics priced in rental and owner-occupied markets? What can answers to these questions tell us about economic theories of homeownership? Using the English Housing Survey, we estimate a selection model of property allocations to the owner-occupied and rental sectors. Structural characteristics and unobserved quality are important for selection. Location is not. Accounting for selection is important for rent-to-price ratio estimates and explains some puzzling correlations between rent-to-price ratios and homeownership rates. These patterns are consistent with, among others, hypotheses of rental market contracting frictions related to housing maintenance.

Type
Publication
International Economic Review